Logo
中文版
详情联系: neusar-support@reachauto.com
ara::crypto::Serializable类 参考abstract

可序列化的对象接口类 更多...

#include <serializable.h>

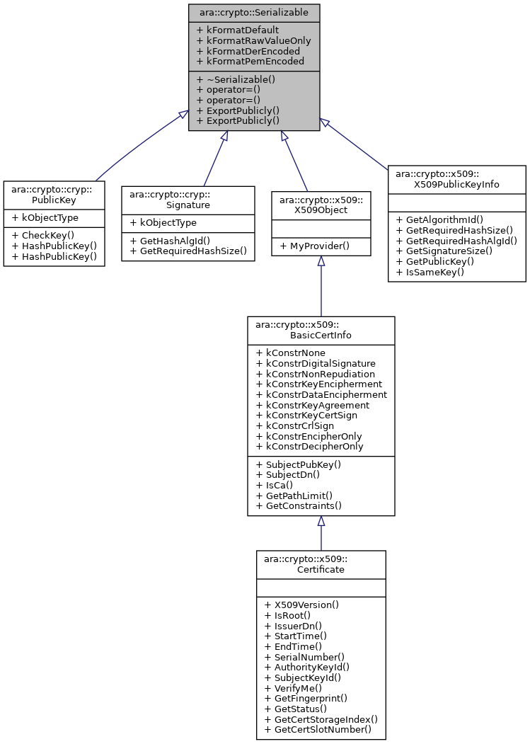
类 ara::crypto::Serializable 继承关系图:
Inheritance graph
ara::crypto::Serializable 的协作图:
Collaboration graph

Public 类型

using FormatId = std::uint32_t
 编码格式标识符的容器类型。 更多...
 

Public 成员函数

virtual ~Serializable () noexcept=default
 序列化析构函数 更多...
 
Serializableoperator= (const Serializable &other)=default
 将另一个Serializable拷贝赋值给此实例 更多...
 
Serializableoperator= (Serializable &&other)=default
 将另一个Serializable移动赋值给此实例 更多...
 
virtual ara::core::Result< ara::core::Vector< ara::core::Byte > > ExportPublicly (FormatId formatId=kFormatDefault) const noexcept=0
 自身序列化导出 更多...
 

静态 Public 属性

static const FormatId kFormatDefault = 0U
 默认的序列化格式。 更多...
 
static const FormatId kFormatRawValueOnly = 1U
 只导出对象的原始值。 更多...
 
static const FormatId kFormatDerEncoded = 2U
 导出对象的DER编码值。 更多...
 
static const FormatId kFormatPemEncoded = 3U
 导出对象的PEM编码值 更多...
 

详细描述

可序列化的对象接口类

Swsid
SWS_CRYPT_10700
符合标准
yes
非标原因
N/A
种类
class
符号
ara::crypto::Serializable
范围
namespace ara::crypto
基类
N/A
分类
ara
头文件
注解
N/A
模板参数
N/A

在文件 第 行定义.

成员类型定义说明

◆ FormatId

using ara::crypto::Serializable::FormatId = std::uint32_t

编码格式标识符的容器类型。

Swsid
SWS_CRYPT_10701
符合标准
yes
非标原因
N/A
种类
type alias
符号
ara::crypto::Serializable::FormatId
范围
class ara::crypto::Serializable
派生来源
N/A
分类
ara
头文件
注解
N/A

在文件 第 行定义.

构造及析构函数说明

◆ ~Serializable()

virtual ara::crypto::Serializable::~Serializable ( )
virtualdefaultnoexcept

序列化析构函数

模板参数
N/A
参数
[in]N/A
[out]N/A
[in,out]N/A
返回
N/A
注解
N/A
错误码偏差项
N/A
异常
N/A
Swsid
SWS_CRYPT_10710
符合标准
yes
非标原因
N/A
种类
function
可见
public
线程安全
reentrant
Fireandforget
no
错误
N/A
头文件
异常安全
noexcept
分类
ara

成员函数说明

◆ ExportPublicly()

virtual ara::core::Result<ara::core::Vector<ara::core::Byte> > ara::crypto::Serializable::ExportPublicly ( FormatId  formatId = kFormatDefault) const
pure virtualnoexcept

自身序列化导出

模板参数
N/A
参数
[in]formatId指定输出的序列化数据格式
[out]N/A
[in,out]N/A
返回
序列化数据缓存
注解
[Error]: CryptoErrc::kUnknownIdentifier 数据格式标识符未知;
[Error]: CryptoErrc::kUnsupportedFormat 如果指定的数据格式标识符对于对象本身不支持;
错误码偏差项
N/A
异常
N/A
Swsid
SWS_CRYPT_10711
符合标准
yes
非标原因
N/A
种类
function
可见
public
线程安全
reentrant
Fireandforget
no
错误
N/A
头文件
异常安全
noexcept
分类
ara

◆ operator=() [1/2]

Serializable& ara::crypto::Serializable::operator= ( const Serializable other)
default

将另一个Serializable拷贝赋值给此实例

模板参数
N/A
参数
[in]other其他Serializable实例
[out]N/A
[in,out]N/A
返回
*this 包含其他实例内容
注解
N/A
错误码偏差项
N/A
异常
N/A
Swsid
SWS_CRYPT_30204
符合标准
yes
非标原因
N/A
种类
function
可见
public
线程安全
reentrant
Fireandforget
no
错误
N/A
头文件
异常安全
noexcept
分类
ara

◆ operator=() [2/2]

Serializable& ara::crypto::Serializable::operator= ( Serializable &&  other)
default

将另一个Serializable移动赋值给此实例

模板参数
N/A
参数
[in]other其他Serializable实例
[out]N/A
[in,out]N/A
返回
*this 包含其他实例内容
注解
N/A
错误码偏差项
N/A
异常
N/A
Swsid
SWS_CRYPT_30205
符合标准
yes
非标原因
N/A
种类
function
可见
public
线程安全
reentrant
Fireandforget
no
错误
N/A
头文件
异常安全
noexcept
分类
ara

类成员变量说明

◆ kFormatDefault

const FormatId ara::crypto::Serializable::kFormatDefault = 0U
static

默认的序列化格式。

Swsid
SWS_CRYPT_10750
符合标准
yes
非标原因
N/A
种类
variable
符号
ara::crypto::Serializable::kFormatDefault
范围
class ara::crypto::Serializable
类型
FormatId
分类
ara
头文件
注解
N/A

在文件 第 行定义.

◆ kFormatDerEncoded

const FormatId ara::crypto::Serializable::kFormatDerEncoded = 2U
static

导出对象的DER编码值。

Swsid
SWS_CRYPT_10752
符合标准
yes
非标原因
N/A
种类
variable
符号
ara::crypto::Serializable::kFormatDerEncoded
范围
class ara::crypto::Serializable
类型
FormatId
分类
ara
头文件
注解
N/A

在文件 第 行定义.

◆ kFormatPemEncoded

const FormatId ara::crypto::Serializable::kFormatPemEncoded = 3U
static

导出对象的PEM编码值

Swsid
SWS_CRYPT_10753
符合标准
yes
非标原因
N/A
种类
variable
符号
ara::crypto::Serializable::kFormatPemEncoded
范围
class ara::crypto::Serializable
类型
FormatId
分类
ara
头文件
注解
N/A

在文件 第 行定义.

◆ kFormatRawValueOnly

const FormatId ara::crypto::Serializable::kFormatRawValueOnly = 1U
static

只导出对象的原始值。

Swsid
SWS_CRYPT_10751
符合标准
yes
非标原因
N/A
种类
variable
符号
ara::crypto::Serializable::kFormatRawValueOnly
范围
class ara::crypto::Serializable
类型
FormatId
分类
ara
头文件
注解
N/A

在文件 第 行定义.